为了进一步提高研究生培养质量,促进研究生之间的学术交流和思想碰撞,营造研究生学术创新氛围,酒店偷拍
主办的“研途青年说”第5讲于11月23日下午16点-17点30分由在线上(腾讯会议)和线下(B3栋910会议室)同时举行。本次的报告主题是:大气低温等离子体和低光照图像增强。报告人分别为丁泽辉、欧嘉敏。
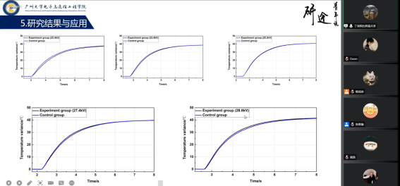
丁泽辉首先介绍了大气压低温等离子体的研究现状。接着丁泽辉分别对等离子体的定义、低温等离子体发生方式、介质阻挡放电(DBD)产生原理和等离子体的应用进行了一一介绍。从丁泽辉的实验结果了解到,经过等离子体额改性之后,的确是增加了材料的导热性能,用改性后的材料封装温度传感器,能够提高传感器对温度的灵敏度。最后,丁泽辉给出了一些建议:一、要相信自己,相信自己的导师,有空多和导师进行沟通;二、可以把每一个科研任务看成是一个挑战,无论是做什么研究,其实考验的是一个人整体的综合能力,这对以后出来社会工作也是非常有用的;三、本科阶段主要是上课,研究生阶段主要就是做科研,无论做什么研究,要有耐性,要多思考。针对同学提出的问题,丁泽辉耐心地一一解答。
欧嘉敏首先从传统方法和深度学习的方法介绍了低光照图像增强这一领域,引起了同学们的思考。通过欧嘉敏的介绍,我们了解到传统方法直方图均衡的思想是使输入图像的直方图分布变的均匀, 这样就会使图像的灰度级增加,从而可达到图像对比度整体增强的效果。然后,欧嘉敏用浅显的语言,生动形象的例子,分别介绍了基于深度学习的方法:经典的Retinex理论+卷积神经网络、学习图像的调整曲线和基于Transformer的架构。最后,欧嘉敏对她的研究内容进行了详细讲述,她讲到,人类面对低光照图像的处理机制:先全局再局部。人体大脑的视觉通路是收集—筛选—决策的过程。而仿人眼视觉处理机制是提出基于小波变换的层级递阶处理的低光照图像增强算法,主要包括亮度增强、噪声去除、结构重构三大处理阶段。针对同学提出的问题,欧嘉敏耐心地一一解答。
在活动的问答环节,两位主讲人都对同学们的疑问进行了深入探讨,会场气氛热烈,同学们交流愉悦。
通过“研途青年说”这个学术交流平台,同学们对自己的研究生生涯规划有了更清晰的认识,并对这两种研究方向有了更深入的了解,为自己的科研道路奠定了基础。
“研途青年说”学生简介:
丁泽辉
丁泽辉,2019级酒店偷拍
电子与通信工程专业硕士。导师:柳晶晶,主要研究方向:气体放电机理与应用。主要科研成果:发表EI会议两篇;发明专利一件。
欧嘉敏
欧嘉敏,2019级酒店偷拍
电子与通信工程专业硕士。导师:胡晓,主要研究方向:图像增强。主要科研成果:北大中文核心一篇。

(文案:梁必发 编辑:谢玲)